ВХ
29.03.2021 23:13
Сегодня обратила внимание, что у меня торчат рёбра. На секунду испугалась. Потом удивилась - живот-то на месте. Померила все обхваты, талия и правда чуть уменьшилась (2см), бёдра не двигаются, живот выпирает. Сбегала к контрольной юбке, осталось ещё два сантиметра на талии до пункта прибытия. Контрольное платье попка не решаюсь примерять. Скоро лето, а beach body ещё не готово.

(Видели цинк и фолаты, а? То-то же!)

Завтрак

Кол-во Калории Белки Жиры Углеводы
Яйцо куриное (Варка)
110
172.7 14 12.7 0.8
Молоко без лактозы 0.2%
300
102 9.9 0.6 14.4
Соль поваренная пищевая
1
0 0 0 0
Хлебец из кукурузной и рисовой муки
1
25.3 0.5 0.2 4.9
Кофе молотый, сваренный на водопроводной воде
100
1 0.1 0 0
Миндальный спред, без соли
11
67.5 2.3 6.1 0.9
Мандарин
45
17.1 0.4 0.1 3.4

Обед

Кол-во Калории Белки Жиры Углеводы
Рататуй
200
176.6 2.6 14.2 8.8
Картофель (Запекание)
100
72.3 1.9 0.4 15.3
Подсолнечное масло
5
45 0 5 0
Кофе молотый, сваренный на водопроводной воде
100
1 0.1 0 0
Молоко без лактозы 0.2%
100
34 3.3 0.2 4.8
Петрушка свежая
13
6.4 0.5 0.1 1
Лук зеленый (перо)
22
4.4 0.3 0 0.7
Какао-порошок
8
23.1 1.9 1.2 0.8
Чернослив (слива сушеная)
20
51.2 0.5 0.1 11.5
Нут (турецкий горох), вареный, без соли
50
82 4.4 1.3 9.9

Дневной перекус

Кол-во Калории Белки Жиры Углеводы
Яблоко
160
75.2 0.6 0.6 15.7
Сыр швейцарский, м.д.ж. 50% в сух. в-ве
28
109.5 6.9 8.8 0.4
Сельдерей
118
15.3 1.1 0.1 2.5
Фундук
20
130.2 3 12.3 1.9
Ветчина слабосолёная, приготовленная
50
86 11.2 4.2 0.2
Салат (латук)
50
8 0.8 0.1 1
Хлебец из кукурузной и рисовой муки
1
25.3 0.5 0.2 4.9

Ужин

Кол-во Калории Белки Жиры Углеводы
Лосось атлантический (семга)
100
153 20 8.1 0
Салат (латук)
60
9.6 0.9 0.1 1.2
Капуста белокочанная, квашеная
100
23 1.8 0.1 3
Нут (турецкий горох), вареный, без соли
30
49.2 2.7 0.8 5.9
Яблоко
90
42.3 0.4 0.4 8.8
Молоко без лактозы 0.2%
250
85 8.3 0.5 12

Вечерний перекус 2

Кол-во Калории Белки Жиры Углеводы
Вода водопроводная питьевая
1000
0 0 0 0
Чтобы увидеть отчеты по питанию и график веса, необходимо войти.
 9 
 67
ВХ
28.03.2021 21:47
Начиталась в этих ваших интернетиках, что иммунитет страдает без цинка, и вспомнила, что цинк у меня как раз систематически проседал. Сегодня собрала волю в кулак и начала планирование рациона с него. "Ох, тяжёлая это работа - из болота тащить бегемота". Под конец планирования оказалось, что фолаты тоже оказались в меньшинстве.
"Фолиевая кислота — синтетический водорастворимый витамин, необходимый для роста и развития кровеносной и иммунной систем." (Вики)
Когда подкрутила эти два элемента, всё остальное сложилось само. Надо будет ходить в магазин с распечаткой супер-еды по цинку и фолатам. Интересно, что список продуктов, содержащих цинк, и список продуктов, содержащих фолаты, наполовину перекрылись друг с другом. Особенно, молоко - мощный продукт. То-то меня на него тянет.

Чувствую себя странно, не проходит боль в голове. На бокс вчера не пошла, но ходила сегодня гулять. Получилось 250 ккал расхода за час ходьбы (холмы способствуют). Попробую пока ходить. Вес стоит на месте. Жду слива после месячных. Хотя нечему сливаться - дефицита не было в последние недели.

Завтрак

Кол-во Калории Белки Жиры Углеводы
Молоко без лактозы 0.2%
300
102 9.9 0.6 14.4
Яйцо куриное (Варка)
100
157 12.7 11.5 0.7
Миндальная паста
7
32.1 0.6 1.9 3
Яблоко
54
25.4 0.2 0.2 5.3
Соль поваренная пищевая
1
0 0 0 0
Лук репчатый (Жарка)
50
15.2 0.7 0.1 2.9
Помидор (томат), грунтовый (Жарка)
100
18.1 1 0.2 2.7
Петрушка свежая
10
4.9 0.4 0 0.8
Лук зеленый (перо)
22
4.4 0.3 0 0.7
Подсолнечное масло
9
80.9 0 9 0

Обед

Кол-во Калории Белки Жиры Углеводы
Лосось атлантический (семга)
100
153 20 8.1 0
Перец сладкий красный
150
40.5 2 0.2 8
Чернослив (слива сушеная)
24
61.4 0.6 0.2 13.8
Фундук
20
130.2 3 12.3 1.9
Соль поваренная пищевая
1
0 0 0 0
Сок сельдерей/морковь/яблоко
180
59.8 1.4 0.2 13.3
Морские водоросли порфира, сырые
18
6.3 1 0.1 0.9
Подсолнечное масло
2
18 0 2 0
Какао-порошок
7
20.2 1.7 1.1 0.7
Молоко без лактозы 0.2%
112
38.1 3.7 0.2 5.4

Дневной перекус

Кол-во Калории Белки Жиры Углеводы
Сыр швейцарский, м.д.ж. 50% в сух. в-ве
22
86 5.4 7 0.3
Яблоко
160
75.2 0.6 0.6 15.7
Сельдерей
100
13 0.9 0.1 2.1

Ужин

Кол-во Калории Белки Жиры Углеводы
Лук репчатый (Припускание)
200
74.8 2.7 0.4 14.8
Подсолнечное масло
7
62.9 0 7 0
Ветчина слабосолёная, приготовленная
50
86 11.2 4.2 0.2
Соль поваренная пищевая
1
0 0 0 0
Нут (турецкий горох), консервированный, содержимое без жидкости
100
139 7 2.8 16.1
Томатный соус, без добавления соли
50
12 0.6 0.2 1.9
Салат (латук)
200
32 3 0.4 4

Вечерний перекус

Кол-во Калории Белки Жиры Углеводы
Молоко без лактозы 0.2%
200
68 6.6 0.4 9.6
Клубника
100
41 0.8 0.4 7.5

Вечерний перекус 2

Кол-во Калории Белки Жиры Углеводы
Вода водопроводная питьевая
1000
0 0 0 0
Чтобы увидеть отчеты по питанию и график веса, необходимо войти.
 5 
 79
ВХ
25.03.2021 10:50
После болезни бегалось, конечно, тяжело. Пробежать, строго говоря, удалось только три с половиной км, а последние полтора километра на холм уже заползала пешком. Почему-то пробило на дикий голод, аж руки тряслись. Прибежала домой и за секунду съела слона. Обычно было наоборот - бег усмирял голод. Что-то ещё барахлит в организме. И терморегуляция тоже. В +18 выходила из дома в зимних тайтсах, зимней беговой куртке и теплой повязке на уши, и первый километр было совсем не жарко. Потом включился внутренний обогрев, куртку сняла, тайтсы подвернула. Но так и не вспотела. Наверное, потому что бежала в два раза медленнее, чем обычно. Сегодня чувствую себя хорошо. Надеюсь в субботу вернуться на бокс.
Бег (дистанция/время)
1
Итог
Дистанция
3000
3000
Время
50
50
Вес отягощения
Перепад высот
0
Ходьба (дистанция/время)
1
2
Итог
Дистанция
2000
2000
Количество шагов
Время
Вес отягощения
Перепад высот
80
0
80
Результаты за день
Энергозатраты: 302 ккал
Дистанция: 5000 м
Время: 50 мин
Перепад высот: 40 м
 9 
 44
ВХ
24.03.2021 10:23
Давненько у меня не было такой затяжной болезни. Только вчера впервые за две недели появились силы на то, чтобы вылезти из постели и навести порядок в доме. Волнуюсь, не виноват ли в этом дефицит калорий и высвобождение токсичных веществ из жировых клеток. Я год назад приводила ссылку на статью с данными, что при резком снижении веса у испытуемых сильно повышалось количество токсинов в крови. У меня хоть процесс медленный, но долгий, мог быть накопительный эффект.

Интересно было, как тело отреагирует на болезнь питанием. Я себя ни в чём не ограничивала, но всё записывала. Казалось, что ем много углеводов, - хотелось сладкого чая, шоколада и блинов. Но анализ показал, что не так я много углеводов и съела

Каким-то образом набрала витамины (даже не пыталась). Питалась примерно на калорийность поддержания. Спорта, естественно, не было (обычно дефицит за счёт него). Вес был стабилен. Кстати, я поняла, почему у людей ровные кривые веса были, а у моего бешенные скачки. Мне казалось, что я всё делаю одинаково, но, на самом деле, нет. Вес, видимо, скакакал из-за бега, который был раз в два-три дня и влиял на баланс воды. Попробую сегодня побегать.

Завтрак

Кол-во Калории Белки Жиры Углеводы
Куриная грудка (филе)
100
113 23.6 1.9 0.4
Батат, картофель сладкий, вареный без соли
100
76 1.4 0.1 15.2
Молоко без лактозы 0.2%
300
102 9.9 0.6 14.4
Чай, заваренный, приготовленный, на водопроводной воде
300
3 0 0 0.9
Сахар песок
8
31.9 0 0 8
Миндаль
20
121.8 3.7 10.7 2.6

Обед

Кол-во Калории Белки Жиры Углеводы
Тунец натуральный. Консервы
112
107.5 25.2 0.8 0
Перец сладкий желтый
160
43.2 1.6 0.3 8.7
Кукуруза, консервы
50
29 1.1 0.2 5.6
Кофе молотый, сваренный на водопроводной воде
100
1 0.1 0 0
Молоко без лактозы 0.2%
50
17 1.7 0.1 2.4
Кунжутная паста (тахинная паста, тхина)
11
64.5 2 5.6 2
Хлебец из кукурузной и рисовой муки
1
25.3 0.5 0.2 4.9
Имбирь в Сахаре [Лакомства для Здоровья]
12
42 0 0 9.6
Мандарин
40
15.2 0.3 0.1 3
Сыр швейцарский, м.д.ж. 50% в сух. в-ве
30
117.3 7.4 9.5 0.4

Дневной перекус

Кол-во Калории Белки Жиры Углеводы
Мандарин
80
30.4 0.6 0.2 6
Сыр швейцарский, м.д.ж. 50% в сух. в-ве
27
105.6 6.6 8.5 0.4
Подсолнечник, семечки
20
120.2 4.1 10.6 2.1

Ужин

Кол-во Калории Белки Жиры Углеводы
Капуста белокочанная, квашеная
150
34.5 2.7 0.2 4.5
Батат, картофель сладкий, вареный без соли
150
114 2.1 0.2 22.8
Молоко без лактозы 0.2%
250
85 8.3 0.5 12

Вечерний перекус 2

Кол-во Калории Белки Жиры Углеводы
Вода водопроводная питьевая
1000
0 0 0 0
Чтобы увидеть отчеты по питанию и график веса, необходимо войти.
 4 
 65
ВХ
17.03.2021 10:26
Вчера делала тест на ковид. Ужас, конечно, но не ужас-ужас. Длится секунды три, и хочется легонечко сломать тётеньке руку. Повеяло садизмом советских медсестёр. До сих пор ноздря болит. Спрашивают:
- Был ли контакт с больным ковидом?
- Нет, говорю. Но я была на феминистическом марше 8 марта.

И они на меня так смотрят, как будто я призналась, что избивала христианских младенцев - всех, сразу, единолично. Добавляю:

-...я была в маске. И все остальные - тоже.
- Отметьте симптомы в анкете.

"Есть ли потеря запаха и вкуса?..." У меня под носом Ниагара - как вы думаете, я чувствую запахи?... Не разумнее ли поставить просто "насморк"? Да и вкус на большую часть состоит из запаха. Кстати, мне почему-то яйца кажутся отвратительными в последние дни. Ещё прикольно, что у меня никогда не пропадает аппетит. А, нет, при температуре 39°С пропал на часок, но я приняла аспирин, и он опять вернулся.

Интересно, что я уже много лет не болела, но вот вторая весна на дефиците калорий, когда меня накрывает серьезно, - на неделю, как минимум. Похоже, дефицит калорий, даже такой маленький, как у меня, подкашивает иммунитет. В последнее время очень хотелось спать - надо было понять намеки организма.

Короче, результат на ковид отрицательный.

Завтрак

Кол-во Калории Белки Жиры Углеводы
Яйцо куриное (Варка)
105
164.9 13.3 12.1 0.7
Молоко без лактозы 0.2%
255
86.7 8.4 0.5 12.2
Соль поваренная пищевая
1
0 0 0 0
Кофе молотый, сваренный на водопроводной воде
100
1 0.1 0 0
Шоколад горький
12
64.7 0.7 4.2 5.8
Фундук
4
26 0.6 2.5 0.4

Обед

Кол-во Калории Белки Жиры Углеводы
Печень говяжья (Жарка крупным куском)
130
136.2 20.5 2.8 6.9
Оливки (маслины чёрные). Консервы
54
94.5 1 8.8 2.8
Горчица столовая
20
28.6 2 1.1 2.5
Голубика
110
42.9 1.1 0.6 7.3
Сливки взбитые 22% жирности в аэрозольном балончике
40
102.8 1.3 8.9 5
Шоколад горький
7
37.7 0.4 2.5 3.4
Фундук
3
19.5 0.5 1.8 0.3
Молоко без лактозы 0.2%
44
15 1.5 0.1 2.1
Кофе молотый, сваренный на водопроводной воде
100
1 0.1 0 0
Чернослив (слива сушеная)
24
61.4 0.6 0.2 13.8

Ужин

Кол-во Калории Белки Жиры Углеводы
Свекла, вареная
150
66 2.5 0.3 11.9
Яблоко
80
37.6 0.3 0.3 7.8
Колбаса, Кровяная
150
568.5 21.9 51.7 1.9
Молоко без лактозы 0.2%
300
102 9.9 0.6 14.4
Подсолнечник, семечки
10
60.1 2.1 5.3 1.1

Вечерний перекус 2

Кол-во Калории Белки Жиры Углеводы
Вода водопроводная питьевая
1000
0 0 0 0
Чтобы увидеть отчеты по питанию и график веса, необходимо войти.
 8 
 62
ВХ
08.03.2021 22:02
Как я провёл:
"Все (женщины) на забастовку! Международная борьба женщин"
"Женщина без мужчина - как рыба без велосипеда"
"Аборт: нет (рисунок матки), нет мнения".
"Ради тебя я не побрею ни стены, ни мою киску"
(игра слов, по-французски "брить стены" означает "жаться к стенам", "быть незаметным"
Процитирую свой давний пост про 8 марта:

"Спрашиваю у друга Пакома накануне, празднуют ли во Франции Международный Женский День, потому что мне в глаза не бросилось. Он говорит:

- Нет. Это же просто день напоминания о защите прав женщин. Как его праздновать?

- Ну, как же: дешёвые бесполезные подарки всем знакомым женщинам, неискренние речи, такие же неискренние благодарности в ответ, помыть посуду один раз в году.

- По-моему, это очень цинично. А, да, во Франции 8 марта на радио могут пригласить одних женщин. Но это означает, что назавтра там будут одни мужчины. Тоже довольно цинично.

Обсудили, посмеялись. На следующий день выхожу на улицу - вовсю светит солнце, девушки в летних платьях загорают на лужайках, но шарики бракованные - не радуют. Пошли с друзьями вчетвером в парк покидать фрисби. Так увлечённо это делали, что к нам подошёл мужчина с двумя детьми - девочка лет 10 и мальчик лет 12 - и попросил научить их некоторым движениям. Самый опытный игрок, Хьюго, объяснил азы и даже предложил им поиграть с нами. У меня создалось ощущение, что Хьюго общался только с мальчиком, потому что когда мы начали играть, у мальчишки более-менее получалось, а девочка роняла все пасы. Никто не удивился, вписывается в паттерн "девочкам меньше удаётся спорт". В перерыве я объяснила ей, как надо правильно принимать пас и давать передачи, немного объяснила защиту. Когда мы вернулись к игре,  она начала получать очки. Это был лучший подарок от одной женщины другой женщине на 8 марта, который только можно придумать. И тут весна проникла в мою душу."Франция - тоже не идеальная страна, сегодня мне партнёр рассказывал, что до сих пор есть разницы в зарплатах за одну и ту же должность, и это связано с тем, что женщины замедляются в карьере и в переговорах о зарплате из-за детей. Встречаются ещё издержки патриархата про то, что готовка, уборка, дети - это женское, особенно, среди беднейших слоёв населения. Но я вижу, какой огромный прогресс проделан по сравнению с Францией Симоны Бовуар, про которую напомнила сегодня Мартинка. Как много женщин на руководящих должностях, как много мужчины берут на себя заботу о детях. И когда-нибудь это неизбежно докатится до всех стран. Когда-нибудь все женщины поверят, что им можно всё абсолютно то же, что и мужчинам. Будем!

Ну, и повторю видео (с  русскими субтитрами) о той противоречивой чуши, которой женщинам промывают мозги.
И парочка феминистических песен:
"Balance ton porc" - это французская версия движения #MeToo (можно включить английские субтитры):
 17 
 238
ВХ
27.02.2021 16:34
В продолжение предыдущего поста про дефицит калорий начну сразу с заключения, а то вдруг до него опять немногие доживут, а формулы дам после. Для этого придётся признаться в стыдной вещи, про которую я не хотела говорить, но придётся ради всеобщего блага, тем более, что все мы когда-то были молодыми и глупыми. Короче, идеальный вес я сначала выбрала 53 кг, и калораж рассчитала под него (тот, который 1750 ккал). Мой начальный вес здесь на сайте был 76 кг, и анализ отчётов за прошлый год показал, что мой полный обмен составлял примерно 2000 ккал. То есть, мой дефицит составля примерно 200-250 ккал в день. А теперь шокирующий вывод: начального дефицита в 200 ккал достаточно, чтобы вес постепенно снизился на 20 кг. При этом, дефицит будет всё меньше и меньше со временем (если калораж фиксированный), и человеку теоретически будет становиться всё сытнее. Да, это будет долго, как показывают теоретические расчёты - года два.  Но это будет почти естественный процесс, без страданий и лишений. А здесь люди систематически питаются на калораж, который подходит весу, который ниже их собственного на 50 кг или даже ниже. Неудивительно, что большинство постоянно хочет есть.

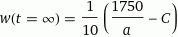
А теперь формулы. Второй раз дифференциальные уравнения и полный вывод писать не буду, сразу дам результат. Я использовала уравнение Mifflin St Jeor из Википедии. Там есть часть, которая зависит от массы тела с коэффициентом массы 10, и часть, которая зависит от роста, пола и возраста - постоянная, но для каждого человека - разная. Для меня эта постоянная равна примерно C=650 ккал. Не надо забывать, что уравнение дано для основного обмена, то есть, полный обмен получается умножением на коэффициент активности а, который у каждого свой, и его надо определять опытным путём. Под мои фактические измерения за год примерно подошёл a=1.48. Новая формула будет:
где а - коэффициент активности. На самом деле, формула не сильно отличается от предыдущей. Изменились только цифры конечного веса - 53, и цифра перед экспонентой - 23 (это разница между начальным и конечным весом, забыла сказать в прошлый раз). Конечный вес можно рассчитать из калоража питания (у меня - 1750 ккал):
Вот мой новый график по сравнению со старым:
Как я и говорила, тот факт, что помимо пропорциональности ещё добавляется константа, приводит к тому, что график снижается дольше. Ну, и коэффициент снижения экспоненты другой, в два раза меньше, чем предыдущий (который я реально взяла с потолка). 

В этом году проверим, насколько теория верна. Следите за новостями на нашем канале, не переключайтесь.
 22 
 96
ВХ
21.02.2021 23:41
Поскольку для публикации дневника обязательно что-то написать, пишу: у нас сегодня страшный ураган, коровы мимо пролетают. Шучу. Про коров.

Завтрак

Кол-во Калории Белки Жиры Углеводы
Молоко без лактозы био 1.2%
300
129 9 3.6 14.4
Яйцо куриное (Варка)
115
180.6 14.6 13.2 0.8
Кофе молотый, сваренный на водопроводной воде
100
1 0.1 0 0
Чернослив (слива сушеная)
30
76.8 0.7 0.2 17.3
Миндаль
10
60.9 1.9 5.4 1.3
Соль поваренная пищевая
1
0 0 0 0

Обед

Кол-во Калории Белки Жиры Углеводы
Салат (латук)
100
16 1.5 0.2 2
Помидор (томат), грунтовый
157
37.7 1.7 0.3 6
Петрушка свежая
17
8.3 0.6 0.1 1.3
Соль поваренная пищевая
1
0 0 0 0
Печень говяжья (Варка)
60
66.9 9.7 1.7 3.2
Клюква сушенная подслащенная
10
33.8 0 0.1 7.8
Кофе молотый, сваренный на водопроводной воде
100
1 0.1 0 0
Молоко без лактозы био 1.2%
70
30.1 2.1 0.8 3.4
Чернослив (слива сушеная)
30
76.8 0.7 0.2 17.3
Подсолнечник, семечки
20
120.2 4.1 10.6 2.1
Миндаль
10
60.9 1.9 5.4 1.3
Киви
60
28.2 0.5 0.2 4.9

Дневной перекус

Кол-во Калории Белки Жиры Углеводы
Молоко без лактозы био 1.2%
250
107.5 7.5 3 12

Ужин

Кол-во Калории Белки Жиры Углеводы
Печень говяжья (Варка)
50
55.8 8.1 1.4 2.7
Помидор (томат), грунтовый
100
24 1.1 0.2 3.8
Гречневая крупа ядрица
100
308 12.6 3.3 57.1
Лук репчатый (Пассерование)
50
19.9 0.7 0.1 4
Подсолнечное масло
2
18 0 2 0
Огурец соленый
100
13 0.8 0.1 1.7
Оливки (маслины чёрные). Консервы
37
64.8 0.7 6 1.9
Сыр швейцарский, м.д.ж. 50% в сух. в-ве
22
86 5.4 7 0.3

Вечерний перекус 2

Кол-во Калории Белки Жиры Углеводы
Вода водопроводная питьевая
1000
0 0 0 0
Чтобы увидеть отчеты по питанию и график веса, необходимо войти.
 18 
 65
ВХ
20.02.2021 23:48
Я в последнее время так нравлюсь себе на селфи (если бы вы только знали, насколько эта фраза взрывает мне мозг!), что не могу не поделиться фоточками.

И пофиг, что "ты - копия отца!", и что нос большой, и даже, что щёки никак не заползут на место. Какая же я неотразимая красотка всё-таки.

Завтрак

Кол-во Калории Белки Жиры Углеводы
Молоко без лактозы био 1.2%
290
124.7 8.7 3.5 13.9
Яйцо куриное (Варка)
110
172.7 14 12.7 0.8
Шоколадный пирог, приготовленный по рецепту без глазури
30
111.3 1.6 4.5 15.5
Киви
40
18.8 0.3 0.2 3.2

Обед

Кол-во Калории Белки Жиры Углеводы
Куриное крыло, запечённое в духовке без масла (usda)
160
305.6 27.2 19.2 0
Кетчуп
40
40.4 0.4 0 10.8
Кофе молотый, сваренный на водопроводной воде
100
1 0.1 0 0
Молоко без лактозы био 1.2%
45
19.4 1.3 0.5 2.2
Хлебец из овсяной и рисовой муки
6
22.3 0.3 0.5 4.2
Кунжутная паста (тахинная паста, тхина)
18
105.5 3.3 9.2 3.3
Клюква сушенная подслащенная
8
27 0 0.1 6.2

Дневной перекус

Кол-во Калории Белки Жиры Углеводы
Миндаль
13
79.2 2.4 7 1.7
Имбирь в Сахаре [Лакомства для Здоровья]
13
45.5 0 0 10.4

Ужин

Кол-во Калории Белки Жиры Углеводы
Куриное крыло, запечённое в духовке без масла (usda)
130
248.3 22.1 15.6 0
Картофель (Варка в кожуре)
170
124.9 3.3 0.7 26.4
Кетчуп
30
30.3 0.3 0 8.1
Киви
60
28.2 0.5 0.2 4.9
Молоко без лактозы био 1.2%
127
54.6 3.8 1.5 6.1
Чтобы увидеть отчеты по питанию и график веса, необходимо войти.
 27 
 88
ВХ
19.02.2021 13:20
Искала какую-то статью на сайте, и вспомнила, сколько же здесь полезнейшей информации. Новички редко заходят во вкладку статьи на этом сайте, а зря.

Большая и толстая правда об ИМТ
В ней, в частности, даётся ссылка на эту картинку:

Нормы макронутриентов

"Не существует какого-либо минимального уровня суммарных углеводов или конкретного их типа, потребление меньше которого было бы опасно для здоровья большинства людей."

Зачем худеющим физические нагрузки?
"Умеренные занятия (поначалу это могут быть и танцы или ходьба) приносят сразу много плюсов:

- Позволяют практически сохранить мышечную массу, и, соответственно, энергорасход в состоянии покоя (базовый метаболизм).
- Увеличивают ежедневный энергорасход на существенную величину , позволяя увеличить энергодефицит (следовательно,скорость похудения), не уменьшая количество пищи.
- Позволяют при том же или большем энергодефиците питаться более сытно (здесь, конечно важны индивидуальные особенности рациона и привычки)
- Уменьшают вероятность почти всех симптомов и заболеваний, характерных для толстых людей (понижают холестерин, увеличивают чувствительность к инсулину, тренируют сердце, и т.п)"

Отравиться можно и водой
Усвоение белка из разных источников
Максимальные дозы витаминов и минералов
Удельный метаболизм основных органов и тканей
Откуда берутся нормы?

(да, вчера меня пробило на хавчик)

Завтрак

Кол-во Калории Белки Жиры Углеводы
Яйцо куриное (Варка)
120
188.4 15.2 13.8 0.8
Молоко без лактозы 0.2%
330
112.2 10.9 0.7 15.8
Кофе молотый, сваренный на водопроводной воде
100
1 0.1 0 0
Соль поваренная пищевая
2
0 0 0 0
Хлеб без глютена
37
91.5 2.1 2.3 14.4
Имбиря корень сырой
4.5
3.6 0.1 0 0.7
Сахар песок
4.5
18 0 0 4.5
Миндаль
10
60.9 1.9 5.4 1.3

Утренний перекус

Кол-во Калории Белки Жиры Углеводы
Яйцо куриное (Варка)
110
172.7 14 12.7 0.8
Молоко без лактозы био 1.2%
250
107.5 7.5 3 12

Обед

Кол-во Калории Белки Жиры Углеводы
Сыр моцарелла, с низким содержанием соли, м.д.ж. 34% в сух. в-ве
186
520.8 51.2 31.8 5.8
Помидор (томат), грунтовый
155
37.2 1.7 0.3 5.9
Кофе растворимый, приготовленный на воде
100
2 0.1 0 0.3
Какао-бобы
9
47.7 1.2 4.8 0.8
Миндаль
10
60.9 1.9 5.4 1.3
Молоко без лактозы био 1.2%
50
21.5 1.5 0.6 2.4

Дневной перекус

Кол-во Калории Белки Жиры Углеводы
Сыр швейцарский, м.д.ж. 50% в сух. в-ве
35
136.9 8.6 11.1 0.5

Ужин

Кол-во Калории Белки Жиры Углеводы
Сыр фета, м.д.ж. 48% в сух. в-ве
100
265 14.2 21.5 3.9
Помидор (томат), грунтовый
150
36 1.7 0.3 5.7
Картофельные чипсы, обычные, соленые
35
186.2 2.2 11.9 17.8
Шоколад горький
10
53.9 0.6 3.5 4.8
Клюква сушенная подслащенная
10
33.8 0 0.1 7.8
Чай, заваренный, приготовленный, на водопроводной воде
250
2.5 0 0 0.8

Вечерний перекус 2

Кол-во Калории Белки Жиры Углеводы
Вода водопроводная питьевая
1500
0 0 0 0
Чтобы увидеть отчеты по питанию и график веса, необходимо войти.
 10 
 36
Интересные блоги
Лучшие рационы
Новые рецепты