Спасибо всем, кто поучавствовал в дискуссии в предыдущем посте, это
помогло мне чётче сформулировать вопрос и получить шокирующий (и
немного печальный) ответ или его часть. Нашла вот такое
исследование:
Bradbury, Kathryn & Guo, Wenji &
Cairns, Benjamin & Armstrong, Miranda & Key, Timothy.
(2017). Association between physical activity and body fat
percentage, with adjustment for BMI: A large cross-sectional
analysis of UK Biobank. BMJ Open. 7. e011843.
10.1136/bmjopen-2016-011843.
(Связь между физической активностью и процентным содержанием жира в
организме с поправкой на ИМТ: большой поперечный анализ UK
Biobank)
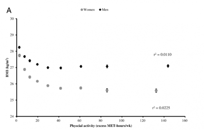
В Великобритании за 4 года опросили 119 230 мужчин и 140 578
женщин без болезней в возрасте 40-69 лет насчёт их физической
активности. Потом замерили их ИМТ и процент жира с помощью
биоимпеданса Танита. Активность замеряли в MET-часах, то есть, во
сколько раз она превышает "просто жить и дышать". В день 24
MET-часов, в неделю - 168. Я так очень грубо на пальцах оценила,
что у меня где-то 100 MET-часов активности в неделю сверх просто
жизни. Я себя считаю довольно активной.
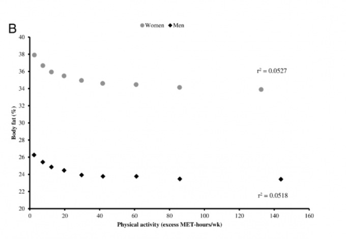
И получились шокирующие данные: процент жира и ИМТ, может, и
снижаются с активностью, но 1) снижаются где-то до 40 МЕТ-часов в
неделю, дальше уже нет эффекта 2) показатели всё равно
остаются в зоне предожирения (ИМТ > 25, процент жира
> 33% для женщин)!!!

Там есть дискуссия, что попытались прокореллировать с возрастом, с
профессией, с фруктами, овощами, красным мясом, но ничего не
помогло, вариации были минимальны. И более того, ссылаются на
китайское
исследование, которое показало примерно то же самое.
Конечно, участники могли врать про свою активность, но в
исследовании разделили участников по разным ИМТ, и графики были
похожи. Интересно только, что при одном и том же ИМТ процент
жира снижался при увеличении активности, хоть какое-то осмысленное
заключение. Вот график для женщин:
Получается, что питание тоже очень важно и, возможно, что-то ещё...
А я думала, что главная проблема - это гиподинамия.
Да, 80% зависит от питания, лишь 20% от физической нагрузки.
" Фигура делается на кухне".
Сама худею только ниже 1200 калорий. Поддержание 1500 калорий, выше набираю.
Среднюю калорийность для себя можно увидеть, выставив в дневнике отчёты за период: месяц, 3 месяца, полгода, год. Очень показательно.